מטרת הניסוי: להדגים תגובות חמצון חיזור המתרחשות עם חומרים ביתיים.

העלמות הכתם נובעת מתגובת חמצון חיזור בין החומצה האסקורבית ליוד המומס בתמיסת הלוגול – תמיסת יוד I2(aq) + I(aq).

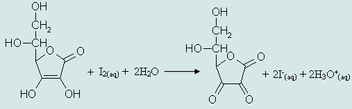
תגובה כימית בין חומצה אסקורבית לתמיסת יוד

בניסוי זה ויטמין C הוא מחזר ועובר חמצון, והיוד פועל כמחמצן ועובר חיזור.
הוספת אקונומיקה על פני הכתם שנעלם, מחזירה את הכתם – גורמת לצבע האופייני ליוד לחזור:
היון הפעיל באקונומיקה הוא ClO(aq) . יון זה מגיב כמחמצן.
ClO(aq) + 2I(aq) + H2O(l) → I2(aq) + Cl(aq) + 2OH(aq)

הכנת תמיסת לוגול:
2 גר' KI ב- 10 מ"ל מים מזוקקים. כאשר האשלגן יודי התמוסס, מוסיפים 1 גר' גבישי I2. מערבבים עד העלמות המוצק ומשלימים את הנפח עד 300 מ"ל עם מים מזוקקים.